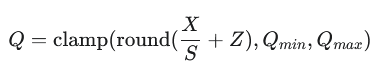
成长 模型量化理论 作者Frank 20 11 月, 202520 11 月, 2025 核心数据公式:仿射变换(Affine Transformation) S(Scale Factor – 缩放因子):决定了整数的步长,量化的灵魂
成长 投资就像探险:平坦道路还是崎岖山路? 作者Frank 24 3 月, 202524 3 月, 2025 看似非常不合理现象的背后往往深藏着不太容易被察觉的道理。在投资领域中,最缺乏的是“清晰的边界”。
成长 llama.cpp changed to cmake why 作者Frank 19 11 月, 202519 11 月, 2025 为什么他们要换成 CMake? 既然你关注架构设计,这背后的原因主要有三点: 你可以现在尝试运行上面的 CMa…